1. 填一填。
(1)

$\frac{1}{2}+\frac{1}{3}=\frac{(\ )}{(\ )}+\frac{(\ )}{(\ )}=\frac{(\ )}{(\ )}$

$\frac{3}{4}-\frac{1}{2}=\frac{(\ )}{(\ )}-\frac{(\ )}{(\ )}=\frac{(\ )}{(\ )}$
答案:1.(1)$\frac{3}{6}$ $\frac{2}{6}$ $\frac{5}{6}$ $\frac{3}{4}$ $\frac{2}{4}$ $\frac{1}{4}$
(2)$\frac{3}{4}$的分数单位是(
$\frac{1}{4}$
),$\frac{2}{3}$的分数单位是(
$\frac{1}{3}$
)。$\frac{3}{4}$和$\frac{2}{3}$的分母不同,就是(
分数单位
)不同,不能直接相加、减,必须先通分,化成(
分母
)相同的分数,再相加、减。
答案:1.(2)$\frac{1}{4}$ $\frac{1}{3}$ 分数单位 分母
(3)一根绳子长$\frac{7}{8}$米,用去$\frac{1}{4}$米,还剩全长的$\frac{5}{7}$,用去全长的(
$\frac{2}{7}$
),还剩下(
$\frac{5}{8}$
)米。
答案:1.(3)$\frac{2}{7}$ $\frac{5}{8}$
(4)新情境 编程 编程的核心在于逻辑,通过编程,孩子们可以学会以清晰的步骤解决问题。观察下面的编程图,回答问题。

当输入$\frac{1}{2}$时,输出的结果是(
$\frac{5}{4}$
);当输入$\frac{4}{5}$时,输出的结果是(
$\frac{1}{20}$
)。
答案:1.(4)$\frac{5}{4}$ $\frac{1}{20}$
解析:
当输入$\frac{1}{2}$时,因为$\frac{1}{2} < \frac{3}{4}$,所以输出为$\frac{1}{2} + \frac{3}{4} = \frac{5}{4}$;当输入$\frac{4}{5}$时,因为$\frac{4}{5} > \frac{3}{4}$,所以输出为$\frac{4}{5} - \frac{3}{4} = \frac{1}{20}$。
$\frac{5}{4}$;$\frac{1}{20}$
2. 选一选。
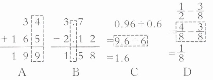
(1)计算$\frac{1}{3}+\frac{1}{4}$时通常需要先通分,统一计数单位后再计算,下列选项中不符合这一原理的是(
C
)。

A.
B.
C.
D.
答案:2.(1)C 【提示】整数和小数加、减法要求相同数位对齐,分数要求分数单位统一。
(2)新情境 白色垃圾 白色垃圾对环境造成了严重的污染。希望小学开展清理“白色垃圾”环保活动,四年级同学清理废塑料$\frac{4}{7}$千克,比五年级同学少清理$\frac{1}{2}$千克。五年级同学清理废塑料(
B
)千克。
A.$\frac{1}{14}$
B.$\frac{15}{14}$
C.$1$
D.$\frac{4}{5}$
答案:2.(2)B 【提示】$\frac{4}{7}+\frac{1}{2}=\frac{15}{14}$(千克)
3. 计算下面各题。
$\frac{3}{4}+\frac{1}{3}$
$\frac{5}{6}-\frac{1}{3}$
$\frac{1}{8}+\frac{1}{5}$
$\frac{3}{5}-\frac{2}{15}$
$\frac{5}{8}+\frac{1}{12}$
$\frac{7}{9}-\frac{1}{6}$
答案:3.$\frac{13}{12}$ $\frac{1}{2}$ $\frac{13}{40}$ $\frac{7}{15}$ $\frac{17}{24}$ $\frac{11}{18}$ 【提示】异分母分数相加减,先通分,将分数单位统一再计算。
解析:
$\frac{3}{4}+\frac{1}{3}=\frac{9}{12}+\frac{4}{12}=\frac{13}{12}$
$\frac{5}{6}-\frac{1}{3}=\frac{5}{6}-\frac{2}{6}=\frac{3}{6}=\frac{1}{2}$
$\frac{1}{8}+\frac{1}{5}=\frac{5}{40}+\frac{8}{40}=\frac{13}{40}$
$\frac{3}{5}-\frac{2}{15}=\frac{9}{15}-\frac{2}{15}=\frac{7}{15}$
$\frac{5}{8}+\frac{1}{12}=\frac{15}{24}+\frac{2}{24}=\frac{17}{24}$
$\frac{7}{9}-\frac{1}{6}=\frac{14}{18}-\frac{3}{18}=\frac{11}{18}$
4. 在$〇$里填“$>$”“$<$”或“$=$”。
$\frac{3}{8}+\frac{1}{4}〇\frac{1}{3}+\frac{1}{2}$
$\frac{5}{6}-\frac{1}{3}〇1-\frac{1}{2}$
$\frac{1}{2}-\frac{1}{8}〇\frac{11}{16}-\frac{3}{8}$
$\frac{3}{5}+\frac{7}{10}〇\frac{5}{9}+\frac{4}{9}$
答案:4.< = > > 【提示】先通分,计算出结果,再比较大小。
解析:
$\frac{3}{8}+\frac{1}{4}=\frac{3}{8}+\frac{2}{8}=\frac{5}{8}=\frac{15}{24}$,$\frac{1}{3}+\frac{1}{2}=\frac{2}{6}+\frac{3}{6}=\frac{5}{6}=\frac{20}{24}$,$\frac{15}{24}<\frac{20}{24}$,所以$\frac{3}{8}+\frac{1}{4}<\frac{1}{3}+\frac{1}{2}$;
$\frac{5}{6}-\frac{1}{3}=\frac{5}{6}-\frac{2}{6}=\frac{3}{6}=\frac{1}{2}$,$1-\frac{1}{2}=\frac{1}{2}$,所以$\frac{5}{6}-\frac{1}{3}=1-\frac{1}{2}$;
$\frac{1}{2}-\frac{1}{8}=\frac{4}{8}-\frac{1}{8}=\frac{3}{8}=\frac{6}{16}$,$\frac{11}{16}-\frac{3}{8}=\frac{11}{16}-\frac{6}{16}=\frac{5}{16}$,$\frac{6}{16}>\frac{5}{16}$,所以$\frac{1}{2}-\frac{1}{8}>\frac{11}{16}-\frac{3}{8}$;
$\frac{3}{5}+\frac{7}{10}=\frac{6}{10}+\frac{7}{10}=\frac{13}{10}$,$\frac{5}{9}+\frac{4}{9}=1=\frac{10}{10}$,$\frac{13}{10}>\frac{10}{10}$,所以$\frac{3}{5}+\frac{7}{10}>\frac{5}{9}+\frac{4}{9}$。
< = > >