【变式 1】(2025·江苏无锡一模)如图甲所示,电源两端电压保持不变,$R_{1}$为定值电阻,滑动变阻器$R_{2}$的规格是“50 Ω 2 A”,电压表的量程为 0~15 V。电压表的示数与滑动变阻器$R_{2}$的关系如图乙所示。以下分析正确的是(
D
)

A.电源电压$U = 20 V$
B.当$R_{2}=10 Ω$时,$I = 2.4 A$
C.$R_{2}$的取值范围是 2~50 Ω
D.电路消耗的总功率的变化范围是 9.6~36 W
答案:1. D
解析:
解:
1. 由图乙,当$R_{2}=10\Omega$时,$U_{1}=12V$;当$R_{2}=20\Omega$时,$U_{1}=8V$。
2. 设电源电压为$U$,$R_{1}$为定值电阻,根据串联电路特点:
当$R_{2}=10\Omega$时:$\frac{U - 12V}{10\Omega}=\frac{12V}{R_{1}}$
当$R_{2}=20\Omega$时:$\frac{U - 8V}{20\Omega}=\frac{8V}{R_{1}}$
联立解得:$U = 24V$,$R_{1}=10\Omega$,故A错误。
3. 当$R_{2}=10\Omega$时,$I=\frac{U_{1}}{R_{1}}=\frac{12V}{10\Omega}=1.2A$,故B错误。
4. 电压表示数最大$15V$时,$I_{\mathrm{max}}=\frac{15V}{10\Omega}=1.5A$,$R_{2\mathrm{min}}=\frac{U - 15V}{I_{\mathrm{max}}}=\frac{9V}{1.5A}=6\Omega$;$R_{2}$最大$50\Omega$时,$I_{\mathrm{min}}=\frac{U}{R_{1}+R_{2}}=\frac{24V}{60\Omega}=0.4A$,$U_{1}=4V$(安全),故$R_{2}$范围$6\Omega∼50\Omega$,C错误。
5. $P_{\mathrm{max}}=UI_{\mathrm{max}}=24V×1.5A=36W$,$P_{\mathrm{min}}=UI_{\mathrm{min}}=24V×0.4A=9.6W$,故D正确。
答案:D
典例 2 如图所示,电源电压为 6 V,电压表量程为 0~3 V,电流表量程为 0~0.6 A,滑动变阻器规格为“20 Ω 1 A”,小灯泡 L 上标有“4 V 2 W”字样(灯丝电阻不变)。在保证整个电路安全的前提下,电路消耗电功率的范围是
2.25~3 W
,小灯泡 L 消耗电功率的范围是
1.125~2 W
。

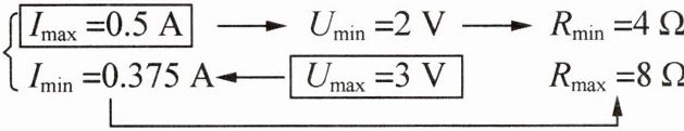
【解题大招】第一步:根据小灯泡的规格求出小灯泡的额定电流$I_{L}=\frac{P_{L}}{U_{L}}=\frac{2 W}{4 V}=0.5 A$、电阻$R_{L}=\frac{U_{L}^{2}}{P_{L}}=\frac{(4 V)^{2}}{2 W}=8 Ω$。
第二步:求功率范围之前,先求出电流表、电压表和滑动变阻器的最值,大小关系对应好

第三步:根据求出的各最值求其他量。
电路消耗的总功率:$P_{max}=UI_{max}=6 V×0.5 A = 3 W$,$P_{min}=UI_{min}=6 V×0.375 A = 2.25 W$;
小灯泡消耗的电功率:$P_{Lmax}=2 W$,$P_{Lmin}=I_{min}^{2}R_{L}=(0.375 A)^{2}×8 Ω = 1.125 W$或$P_{Lmin}=(U - U_{max})I_{min}=(6 V - 3 V)×0.375 A = 1.125 W$。
【答案】
2.25~3 W
1.125~2 W
答案:2. 2.25~3 W 1.125~2 W
解析:
电路消耗电功率的范围:
1. 计算小灯泡额定电流:$I_{L}=\frac{P_{L}}{U_{L}}=\frac{2\,\mathrm{W}}{4\,\mathrm{V}}=0.5\,\mathrm{A}$,电阻:$R_{L}=\frac{U_{L}^{2}}{P_{L}}=\frac{(4\,\mathrm{V})^{2}}{2\,\mathrm{W}}=8\,\Omega$。
2. 电路最大电流由灯泡额定电流、电流表量程和滑动变阻器允许电流决定,$I_{\mathrm{max}}=0.5\,\mathrm{A}$,此时电路总功率:$P_{\mathrm{max}}=UI_{\mathrm{max}}=6\,\mathrm{V}×0.5\,\mathrm{A}=3\,\mathrm{W}$。
3. 电路最小电流由电压表量程决定(滑动变阻器两端电压最大为$3\,\mathrm{V}$),灯泡两端电压$U_{L}'=6\,\mathrm{V}-3\,\mathrm{V}=3\,\mathrm{V}$,电流$I_{\mathrm{min}}=\frac{U_{L}'}{R_{L}}=\frac{3\,\mathrm{V}}{8\,\Omega}=0.375\,\mathrm{A}$,此时电路总功率:$P_{\mathrm{min}}=UI_{\mathrm{min}}=6\,\mathrm{V}×0.375\,\mathrm{A}=2.25\,\mathrm{W}$。
范围:$2.25\,\mathrm{W} ∼ 3\,\mathrm{W}$
小灯泡消耗电功率的范围:
1. 最大功率为额定功率:$P_{L\mathrm{max}}=2\,\mathrm{W}$。
2. 最小功率:$P_{L\mathrm{min}}=I_{\mathrm{min}}^{2}R_{L}=(0.375\,\mathrm{A})^{2}×8\,\Omega=1.125\,\mathrm{W}$。
范围:$1.125\,\mathrm{W} ∼ 2\,\mathrm{W}$
2.25~3 W 1.125~2 W
【变式 2】(2025·江苏无锡一模)如图甲所示,电源电压保持不变,$R_{0}$为定值电阻,$R$为滑动变阻器。闭合开关 S,当滑动变阻器的滑片 P 由 b 滑至 a 过程中,分别测出几组电压值和电流值,并计算出对应的电功率 P,画出电功率 P 与电流 I 的图像如图乙,下列说法不正确的是(
D
)

A.电源电压为 12 V
B.定值电阻$R_{0}$的阻值为 10 Ω
C.滑动变阻器的最大阻值为 50 Ω
D.电阻$R_{0}$消耗的最大功率与最小功率之比为 6∶1
答案:2. D 解析:由图甲可知,$R_0$与$R$串联,电压表测$R$两端的电压,电流表测电路中电流.由图乙可知,电路中最小电流$I_{\min}=0.2 A$,此时$R$接入电路的阻值最大,$R$的功率$P_b=2 W$,则$R$的最大阻值$R_b=\frac{P_b}{I^2_{\min}}=\frac{2W}{(0.2A)^2}=50 \Omega$,此时$R$两端的电压$U_b=I_{\min}R_b=0.2 A×50 \Omega=10 V$,则电源电压$U=I_{\min}R_0+U_b=0.2 A× R_0+10 V$ ①;由图乙可知,当电路中的电流为$0.4 A$时,$R$的功率为$3.2 W$,此时$R$两端的电压$U_R=\frac{P_R}{I}=\frac{3.2W}{0.4A}=8 V$,则电源电压$U=IR_0+U_R=0.4 A× R_0+8 V$ ②.联立①②,解得$R_0=10 \Omega$、$U=12 V$,故A、B、C正确;$R_0$消耗的最小功率$P_{0\min}=I^2_{\min}R_0=(0.2 A)^2×10 \Omega=0.4 W$,$R$接入电路的阻值为$0$时,电路中的电流最大,$R_0$消耗的最大功率$P_{0\max}=\frac{U^2}{R_0}=\frac{(12V)^2}{10\Omega}=14.4 W$,则$R_0$消耗的最大功率与最小功率之比$\frac{P_{0\max}}{P_{0\min}}=\frac{14.4W}{0.4W}=\frac{36}{1}$,故D错误.
解析:
解:由图甲可知,$R_0$与$R$串联,电压表测$R$两端电压,电流表测电路电流。
求滑动变阻器最大阻值及相关电压
由图乙知,最小电流$I_{\min}=0.2\,\mathrm{A}$,此时$R$功率$P_b=2\,\mathrm{W}$。
$R$最大阻值:$R_b=\frac{P_b}{I_{\min}^2}=\frac{2\,\mathrm{W}}{(0.2\,\mathrm{A})^2}=50\,\Omega$。
$R$两端电压:$U_b=I_{\min}R_b=0.2\,\mathrm{A}×50\,\Omega=10\,\mathrm{V}$。
电源电压:$U=I_{\min}R_0+U_b=0.2\,\mathrm{A}× R_0+10\,\mathrm{V}$ ①。
联立方程求$R_0$和电源电压
由图乙知,电流$I=0.4\,\mathrm{A}$时,$R$功率$P_R=3.2\,\mathrm{W}$。
此时$R$两端电压:$U_R=\frac{P_R}{I}=\frac{3.2\,\mathrm{W}}{0.4\,\mathrm{A}}=8\,\mathrm{V}$。
电源电压:$U=IR_0+U_R=0.4\,\mathrm{A}× R_0+8\,\mathrm{V}$ ②。
联立①②:$0.2R_0 + 10 = 0.4R_0 + 8$,解得$R_0=10\,\Omega$,代入①得$U=12\,\mathrm{V}$。
计算$R_0$功率之比
$R_0$最小功率:$P_{0\min}=I_{\min}^2R_0=(0.2\,\mathrm{A})^2×10\,\Omega=0.4\,\mathrm{W}$。
$R$接入阻值为$0$时,最大电流$I_{\max}=\frac{U}{R_0}=\frac{12\,\mathrm{V}}{10\,\Omega}=1.2\,\mathrm{A}$。
$R_0$最大功率:$P_{0\max}=I_{\max}^2R_0=(1.2\,\mathrm{A})^2×10\,\Omega=14.4\,\mathrm{W}$。
功率之比:$\frac{P_{0\max}}{P_{0\min}}=\frac{14.4\,\mathrm{W}}{0.4\,\mathrm{W}}=36:1$。
答案:D