1. 如图,以钝角三角形 $ ABC $ 的最长边 $ BC $ 为边向外作矩形 $ BCDE $,连接 $ AE $,$ AD $,设 $ \triangle AED $,$ \triangle ABE $,$ \triangle ACD $ 的面积分别为 $ S $,$ S_1 $,$ S_2 $。若要求出 $ S - S_1 - S_2 $ 的值,则只需知道 (
C
)

A.$ \triangle ABE $ 的面积
B.$ \triangle ACD $ 的面积
C.$ \triangle ABC $ 的面积
D.矩形 $ BCDE $ 的面积
答案:1. C
解析:
证明:设矩形$BCDE$中,$BC=a$,$BE=CD=h$,$\triangle ABC$边$BC$上的高为$h_0$。
$S_1=\frac{1}{2}BE· BE$边上的高,$S_2=\frac{1}{2}CD· CD$边上的高。
$S=\frac{1}{2}ED· (h + h_0)=\frac{1}{2}ah+\frac{1}{2}ah_0$。
$S_1 + S_2=\frac{1}{2}ah$。
$S - S_1 - S_2=\frac{1}{2}ah_0=S_{\triangle ABC}$。
只需知道$\triangle ABC$的面积。
C
2. 如图,在矩形 $ ABCD $ 中,$ O $ 为对角线 $ BD $ 的中
点,$ \angle ABD = 60° $,动点 $ E $ 在线段 $ OB $ 上,动点 $ F $ 在线段 $ OD $ 上,$ E $,$ F $ 两点同时从点 $ O $ 出发,分别向
终点 $ B $,$ D $ 运动,且始终保持 $ OE = OF $。点 $ E $ 关于 $ AD $,$ AB $ 的对称点分别为 $ E_1 $,$ E_2 $ 两点;点 $ F $ 关于 $ BC $,$ CD $ 的对称点分别为 $ F_1 $,$ F_2 $ 两点。在整个过程中,四边形 $ E_1E_2F_1F_2 $ 形状的变化依次是 (
A
)

A.菱形→平行四边形→矩形→平行四边形→菱形
B.菱形→正方形→平行四边形→菱形→平行四边形
C.平行四边形→矩形→平行四边形→菱形→平行四边形
D.平行四边形→菱形→正方形→平行四边形→菱形
答案:2. A
解析:
证明:设矩形$ABCD$中,$AB=a$,$\angle ABD = 60°$,则$BD = 2a$,$O$为$BD$中点,$OB=OD=a$。设$OE=OF=t$,$t\in[0,a]$。
1. 对称性分析:
$E_1$、$E_2$分别为$E$关于$AD$、$AB$的对称点,坐标计算得$E_1E_2$中点为$A$,且$E_1E_2 = 2AE$。
$F_1$、$F_2$分别为$F$关于$BC$、$CD$的对称点,坐标计算得$F_1F_2$中点为$C$,且$F_1F_2 = 2CF$。
2. 特殊位置讨论:
$t=0$($E,F$与$O$重合):$E_1E_2$与$F_1F_2$互相垂直平分,四边形$E_1E_2F_1F_2$为菱形。
$0<t<a$(非端点):$E_1E_2// F_1F_2$且$E_1E_2=F_1F_2$,为平行四边形;当$t=\frac{a}{2}$时,$E_1E_2⊥ F_1F_2$,为矩形。
$t=a$($E,F$分别与$B,D$重合):$E_1E_2$与$F_1F_2$互相垂直平分,四边形$E_1E_2F_1F_2$为菱形。
综上,形状变化依次为:菱形→平行四边形→矩形→平行四边形→菱形。
A
3. 如图,在正方形 $ ABCD $ 中,$ CE $ 平分 $ \angle ACB $,交 $ AB $ 于点 $ E $,点 $ F $ 在边 $ AD $ 上,且 $ AF = BE $,连接 $ BF $ 交 $ CE $ 于点 $ G $,交 $ AC $ 于点 $ M $,$ P $ 是线段 $ CE $ 上的动点,$ N $ 是线段 $ CM $ 上的动点,连接 $ PM $,$ PN $,则下列结论中不成立的是 (
C
)

A.$ CE ⊥ BF $
B.$ BE = AM $
C.$ AE + FM = AB $
D.$ PM + PN \geqslant \frac{1}{2}AC $
答案:3. C 解析:因为四边形ABCD是正方形,所以AB = BC,∠ABC = ∠DAB = 90°,∠ACB = ∠CAD = 45°.又AF = BE,所以△ABF ≌ △BCE(SAS).所以∠AFB = ∠BEC.因为∠AFB + ∠ABF = 90°,所以∠BEC + ∠ABF = 90°.所以∠BGC = 90°,即CE ⊥ BF.故选项A不符合题意;因为CE平分∠ACB,所以$∠BCE = ∠ACE = \frac{1}{2}∠ACB = 22.5°.$所以∠BEC = 90° - ∠BCE = 67.5°,即∠AFB = 67.5°.所以∠AMF = 180° - ∠CAD - ∠AFB = 67.5°.所以∠AMF = ∠AFB.所以AM = AF = BE.故选项B不符合题意;在△AMF中,∠AMF = 67.5°,∠CAD = 45°,所以AF ≠ FM.所以AB = AE + BE = AE + AF ≠ AE + FM.故选项C符合题意;连接PB,BN,连接BD交AC于点O,则AC = BD,AC ⊥ BD,$OB = \frac{1}{2}BD.$又CE ⊥ BF,所以∠BGC = ∠MGC = 90°.又CG = CG,所以△CBG ≌ △CMG(ASA).所以BG = MG,即CG是线段BM的垂直平分线.所以PB = PM,即PM + PN = PB + PN.当点P在线段BN上,且BN ⊥ AC时,PB + PN取最小值,此时$PB + PN = BO = \frac{1}{2}BD = \frac{1}{2}AC,$即PM + PN的最小值为$\frac{1}{2}AC.$所以$PM + PN ≥ \frac{1}{2}AC.$故选项D不符合题意.
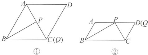
4. 新素养 应用意识 定义:作 $ □ ABCD $ 的一组邻角的平分线,设交点为 $ P $,点 $ P $ 与这组邻角的两个顶点构成的三角形为 $ □ ABCD $ 的“伴侣三角形”。如图,$ \triangle PBC $ 为 $ □ ABCD $ 的伴侣三角形,且 $ AB = m $,$ BC = 4 $,连接 $ AP $ 并延长,交直线 $ CD $ 于点 $ Q $。若点 $ Q $ 落在线段 $ CD $ 上(包括端点 $ C $,$ D $),则 $ m $ 的取值范围是
2 ≤ m ≤ 4
。

答案:4. 2 ≤ m ≤ 4 解析:因为四边形ABCD是平行四边形,所以AB // CD,AD // BC,AB = CD,AD = BC,即∠ABC + ∠BCD = 180°.因为BP平分∠ABC,CP平分∠BCD,所以$∠ABP = ∠PBC = \frac{1}{2}∠ABC,$$∠PCD = ∠PCB = \frac{1}{2}∠BCD.$如图①,当点Q与点C重合时,m取最大值.因为CA平分∠BCD,所以∠ACD = ∠ACB.因为AB // CD,所以∠BAC = ∠ACD,即∠BAC = ∠ACB.所以AB = BC.又AB = m,BC = 4.所以m = 4;如图②,当点Q与点D重合时,m取最小值.因为AD // BC,所以∠APB = ∠PBC,∠DPC = ∠PCB.所以∠ABP = ∠APB,∠DPC = ∠PCD,即AB = AP,CD = PD.又AP + PD = AD,所以BC = 2AB.又AB = m,BC = 4,所以m = 2.综上,m的取值范围是2 ≤ m ≤ 4.

5. 如图,在菱形 $ ABCD $ 中,对角线 $ AC $,$ BD $ 交于点 $ O $,$ AC = 6 $,$ BD = 8 $,$ E $ 为 $ OA $ 的中点,$ F $ 为 $ BC $ 上一点,且 $ BF = 3CF $,$ P $ 为 $ BD $ 上一动点,连接 $ PE $,$ PF $,则 $ |PF - PE| $ 的最大值为
$\frac{5}{4}$
。

答案:$5. \frac{5}{4} $解析:因为四边形ABCD为菱形,AC = 6,BD = 8,所以AB = BC = CD = DA,$OA = OC = \frac{1}{2}AC = 3,$$OB = OD = \frac{1}{2}BD = 4,$AC ⊥ BD.在Rt△AOB中,由勾股定理,得$AB = \sqrt{OA^{2} + OB^{2}} = 5,$所以BC = CD = DA = AB = 5.如图,作点E关于BD的对称点E',连接PE',FE',则PE = PE',OE = OE'.所以|PF - PE| = |PF - PE'|.因为|PF - PE'| ≤ FE',所以当P,F,E'三点共线时,|PF - PE'|取最大值,且最大值为FE'的长.取BC的中点H,连接OH,则$OH = CH = \frac{1}{2}BC = \frac{5}{2}.$因为BF = 3CF,E为OA的中点,所以$CF = \frac{1}{4}BC,$$OE = \frac{1}{2}OA,$即CF = HF,$OE' = \frac{1}{2}OA = \frac{1}{2}OC.$所以E',F分别是OC,CH的中点.所以$FE' = \frac{1}{2}OH = \frac{5}{4}.$所以|PF - PE|的最大值为$\frac{5}{4}.$

6. 如图,$ \angle AOB = 60° $,$ C $,$ D $ 是边 $ OA $ 上的两点,且 $ OD = 8 $,$ CD = 2 $,$ P $ 是 $ OB $ 上的一动点,连接 $ PD $,$ Q $ 是 $ PD $ 的中点,连接 $ CQ $,则 $ CQ $ 的长的最小值为
$\sqrt{3}$
。

答案:$6. \sqrt{3} $解析:如图,取OD的中点M,连接MQ,过点C作CQ' ⊥ MQ于点Q'.因为Q是PD的中点,所以MQ // OB.所以∠DMQ = ∠AOB.又∠AOB = 60°,所以∠DMQ = 60°.连接DQ'并延长,交OB于点P',易得DQ' = Q'P'.所以点Q的运动轨迹是射线MQ.所以CQ的长的最小值为CQ'的长.因为OD = 8,M是OD的中点,所以$MD = \frac{1}{2}OD = 4.$因为CD = 2,所以MC = MD - CD = 2.又∠DMQ + ∠MCQ' = 90°,所以∠MCQ' = 30°.所以$MQ' = \frac{1}{2}MC = 1.$在Rt△MCQ'中,由勾股定理,得$CQ' = \sqrt{MC^{2} - MQ'^{2}} = \sqrt{3}.$所以CQ的长的最小值为$\sqrt{3}.$
