8. (新定义)定义两种运算:$x△ y=\frac{1}{x+y}$,$x*y=\frac{y}{x^{2}-y^{2}}$,则$(m△ n)÷(m*n)=$
。
答案:1. 计算$m△n$:由定义$x△y = \frac{1}{x + y}$,得$m△n=\frac{1}{m + n}$。
2. 计算$m*n$:由定义$x*y=\frac{y}{x^2 - y^2}$,得$m*n=\frac{n}{m^2 - n^2}=\frac{n}{(m - n)(m + n)}$。
3. 计算$(m△n)÷(m*n)$:$\frac{1}{m + n}÷\frac{n}{(m - n)(m + n)}=\frac{1}{m + n}×\frac{(m - n)(m + n)}{n}=\frac{m - n}{n}$。
$\frac{m - n}{n}$
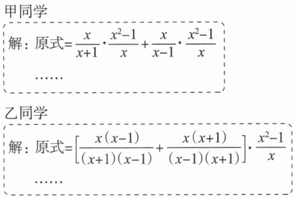
9. (创新考法)化简:$(\frac{x}{x+1}+\frac{x}{x-1})·\frac{x^{2}-1}{x}$。下面是甲、乙两名同学的部分运算过程:
甲同学
解:原式$=\frac{x}{x+1}·\frac{x^{2}-1}{x}+\frac{x}{x-1}·\frac{x^{2}-1}{x}$
……
乙同学
解:原式$=[\frac{x(x-1)}{(x+1)(x-1)}+\frac{x(x+1)}{(x-1)(x+1)}]·\frac{x^{2}-1}{x}$
……
(1)甲同学解法的依据是
,乙同学解法的依据是
。(填序号。)
①等式的基本性质;②分式的基本性质;③乘法分配律;④乘法交换律。
(2)请选择一种解法,写出完整的解答过程。

答案:(1)③;②
(2)选择甲同学的解法:
原式$=\frac{x}{x+1}·\frac{x^{2}-1}{x}+\frac{x}{x-1}·\frac{x^{2}-1}{x}$
$=\frac{x}{x+1}·\frac{(x+1)(x-1)}{x}+\frac{x}{x-1}·\frac{(x+1)(x-1)}{x}$
$=(x-1)+(x+1)$
$=x-1+x+1$
$=2x$
选择乙同学的解法:
原式$=[\frac{x(x-1)}{(x+1)(x-1)}+\frac{x(x+1)}{(x-1)(x+1)}]·\frac{x^{2}-1}{x}$
$=[\frac{x^{2}-x}{(x+1)(x-1)}+\frac{x^{2}+x}{(x+1)(x-1)}]·\frac{(x+1)(x-1)}{x}$
$=\frac{x^{2}-x+x^{2}+x}{(x+1)(x-1)}·\frac{(x+1)(x-1)}{x}$
$=\frac{2x^{2}}{(x+1)(x-1)}·\frac{(x+1)(x-1)}{x}$
$=2x$