在生命的奇妙交响中,神经调节宛如灵动的指挥,以电信号为音符,精准而迅速地奏响反应的旋律,指引身体应对瞬息万变的外界环境。而激素调节则似悠扬的和声部,借助化学物质为媒介,以绵长而深远的韵律徐徐推进生命的进程,维系着机体的稳定与和谐。请据此回答 17~25 题。
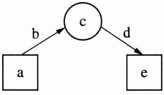
17. 某同学在不知情的情况下,抓起了一个烫手的馒头后,来不及考虑就迅速松手了。右下图是该反射的反射弧结构模式图,下列有关叙述正确的是( )

A. a 是手指肌肉,能接受刺激并产生收缩
B. c 是脊髓中的神经中枢,能使人感觉到烫
C. 该反射活动是人先感觉到烫然后迅速松手
D. 如果 d 受损,人不会及时松手,但会感觉到烫
18. 当期末考试开考铃声响起,你马上奋笔疾书。下列与此不属于同一反射类型的是( )
A. 老马识途
B. 惊弓之鸟
C. 画饼充饥
D. 眨眼反射
19. 近年来我国有关部门加大了对酒驾的查处力度,但有极少数人仍置若罔闻,抱着侥幸的心理酒后驾车。右图是人脑结构示意图,下列有关说法正确的是( )

A. 酒驾者按交警指挥到指定地点停车的行为属于非条件反射
B. 调节呼吸、心跳等基本生命活动的神经中枢位于图中的 C
C. 醉酒者常常表现出走路不稳的现象,原因是酒精麻痹了图中的 A
D. 在酒驾引起的交通事故中腿部受伤感觉到疼痛,痛觉形成的部位是图中的 B
20. 据统计,我国超半数的儿童、青少年存在近视问题。下列有关说法错误的是( )
A. 矫正近视应配戴凹透镜
B. 近视大多是由用眼不当导致的
C. 定期检查视力,增加户外活动等行为有利于保护视力
D. 角膜上的感光细胞能接受光刺激,产生神经冲动
21. 逃生演练中,某同学作出的部分反应如下图所示。下列叙述正确的是( )

A. 图中 X 表示效应器
B. 图中只存在一条反射弧
C. 若传出神经②受到损伤,则肌肉无法收缩
D. 逃生是神经调节和激素调节共同作用的结果
22. 眼保健操中的“脚趾抓地”动作能刺激足部穴位,使眼睛周围的气血通畅,有助于预防近视。下列关于此动作的叙述,正确的是( )

A. 上臂屈肘时,肱二头肌舒张
B. 关节在抓地过程中起动力作用
C. 骨牵拉肌肉活动,使脚趾抓地
D. 抓地动作的完成受神经系统调节
23. 内分泌腺没有导管,分泌物直接进入血液。下列不属于内分泌腺的是( )
A. 胰腺
B. 甲状腺
C. 肾上腺
D. 垂体
24. 人体内含有多种激素,各种激素职责明确、分工精细,各自发挥着独特的作用,被喻为“人体内的魔术师”。下列叙述正确的是( )
A. 肾上腺素分泌过多会患巨人症
B. 缺碘会造成甲状腺激素分泌过多
C. 幼年时生长激素分泌不足会患呆小症
D. 胰岛素可以调节糖类在体内的吸收、利用和转化等
25. 青春期是一个人生长发育的黄金时期。下列关于青春期的叙述正确的是( )
A. 男生出现遗精是具有生殖能力的标志
B. 肺活量和呼吸频率比儿童期显著增加
C. 女生在月经期间,不能参加任何体育活动
D. 女生声调变高与子宫产生的雌激素有关