1. 计算下面各题。
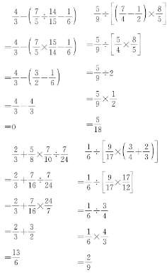
$\frac{4}{3}-(\frac{7}{5}÷\frac{14}{15}-\frac{1}{6})$ $\frac{5}{9}÷[(\frac{7}{4}-\frac{1}{2})×\frac{8}{5}]$
$\frac{2}{3}+\frac{5}{8}×\frac{7}{10}÷\frac{7}{24}$ $\frac{1}{6}÷[\frac{9}{17}×(\frac{3}{4}+\frac{2}{3})]$
答案:
2. 将条件和相对应的算式用线连起来。
六年级一班捐了120本书,______,六年级二班捐了多少本书?

答案:
3. (传统文化)昆曲原名“昆山腔”,是中国古老的戏曲声腔、剧种。亮亮是一名昆曲爱好者,他计划学习300首昆曲,还剩$\frac{1}{4}$没有学。亮亮已经学习了多少首昆曲?
答案:$300×\left(1-\frac{1}{4}\right)=225$(首)
4. (环保意识)在创建文明城市活动中,课题小组举办“资源再利用”活动。第一小组收集了165个空易拉罐,第二小组收集的空易拉罐数量是第一小组的$\frac{4}{5}$。
(1) 第一小组和第二小组一共收集了多少个空易拉罐?
(2) 第二小组比第一小组少收集多少个空易拉罐?
答案:(1)$165+165×\frac{4}{5}=297$(个)
(2)$165-165×\frac{4}{5}=33$(个)
5. (南京真题)振兴服装厂计划十月份生产西服1600套,结果上半月完成计划的$\frac{5}{8}$,下半月完成计划的$\frac{7}{10}$。十月份超额生产西服多少套?
答案:$1600×\left(\frac{5}{8}+\frac{7}{10}-1\right)=520$(套)
解析:
$1600×\left(\frac{5}{8}+\frac{7}{10}-1\right)$
$=1600×\left(\frac{25}{40}+\frac{28}{40}-\frac{40}{40}\right)$
$=1600×\frac{13}{40}$
$=520$(套)
答:十月份超额生产西服520套。
6. (算法探究)用简便方法计算。
2024×$\frac{251}{375}-251×\frac{1937}{375}+288÷\frac{375}{251}$
答案:$2024×\frac{251}{375}-251×\frac{1937}{375}+288÷\frac{375}{251}$
$=2024×\frac{251}{375}-1937×\frac{251}{375}+288×\frac{251}{375}$
$=\frac{251}{375}×\left(2024-1937+288\right)$
$=\frac{251}{375}×375$
$=251$