1. 画一画。(每个小方格的边长表示1厘米)
(1)画一个长5厘米、宽4厘米的长方形。
(2)画一个边长为3厘米的正方形。

答案:1.
[提示]根据长方形和正方形的特征,结合题目给定的长度,在方格图中画出相应图形。
2. (1)画一个正方形,边长为25毫米。
答案:2. (1)画图略 [提示]根据正方形的特征,结合题目给定的长度,画出相应图形。
(2)画一个长方形,长4厘米,宽比长的一半多1厘米。
答案:(2)宽:$4÷2+1=3$(厘米) 画图略
[提示]根据长方形的特征,画一个长4厘米、宽3厘米的长方形即可。
3. 一张长方形纸的长是18厘米,宽是12厘米,从上面剪下一个最大的正方形,再从余下的部分中剪下一个最大的正方形。第二次剪下的正方形的边长是多少厘米?
答案:3. $18-12=6$(厘米) [提示]从长方形中剪下一个最大的正方形,最大正方形的边长等于长方形的宽。第一次剪完后剩下的长方形的长是12厘米,宽是6厘米,再从这个长方形上剪下一个最大的正方形,这个正方形的边长是6厘米。
解析:
第一次剪下的最大正方形边长为长方形的宽,即12厘米。此时余下部分为长12厘米、宽$18 - 12 = 6$厘米的长方形。第二次剪下的最大正方形边长为该长方形的宽,即6厘米。
6
4. 右下图中,两个涂色正方形的边长分别是4厘米和5厘米。两个白色长方形的长和宽各是多少厘米?

答案:4. 两个白色长方形的长是5厘米,宽是4厘米。
[提示]观察题图可知,空白长方形的长等于涂色大正方形的边长5厘米,空白长方形的宽等于涂色小正方形的边长4厘米。
5. 如下图,两张长方形纸片叠在一起形成的钝角是150°,∠2=(
60
)°。

答案:5. 60 [提示]$∠2=150^{\circ }-90^{\circ }=60^{\circ }$
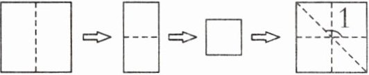
6. 将一张正方形纸连续对折两次,打开后再将对角折起来,得到∠1(如下图)。

∠1=(
135
)°。方方在数线图上标出了∠1的度数所在的大致位置,符合该位置的是点(
C
)。

答案:6. 135 C [提示]$∠1=90^{\circ }÷2+90^{\circ }=135^{\circ }$
7. 如右下图,把一张长方形纸折起来,已知∠2=30°,则∠1的度数是多少?

答案:7. $(180^{\circ }-30^{\circ })÷2=75^{\circ }$
[提示]因为$∠1$左边的角、$∠1$和$∠2$组成了一个平角,所以$∠1$左边的角$+∠1+∠2=180^{\circ }$,由于是折叠起来的,$∠1$与它左边的角相等,$2∠1=180^{\circ }-∠2$,$∠1=(180^{\circ }-30^{\circ })÷2=75^{\circ }$。