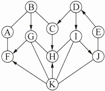
10. (2025·江苏南京模拟·6 分)A~K 是初中化学常见的物质,且分别由 H、O、C、Na、S、Cl、Ca、Fe、Cu 中的一种或几种元素组成。其中 A、B、C 是单质,其余均为化合物;D、E、G 是氧化物;C 是密度最小的气体;F 的水溶液呈蓝色;J 俗称苛性钠。图中“—”表示两端的物质间能发生化学反应,“→”表示物质间存在转化关系;部分反应物、生成物和反应条件已略去。

(1)写出化学式:D
H₂O
,J
NaOH
。
(2)写出 A 与 B 反应的化学方程式:
3Fe + 2O₂$\xlongequal{点燃}$Fe₃O₄
。
(3)写出 K→H 反应的化学方程式:
H₂SO₄ + BaCl₂ = BaSO₄↓ + 2HCl
。
答案:10. (1) H₂O NaOH (2) 3Fe + 2O₂$\xlongequal{点燃}$Fe₃O₄ (3) H₂SO₄ + BaCl₂ = BaSO₄↓ + 2HCl
解析:A~K是初中化学常见的物质,且分别由H、O、C、Na、S、Cl、Ca、Fe、Cu中的一种或几种元素组成。其中A、B、C是单质,其余均为化合物。D、E、G是氧化物。C是密度最小的气体,则C是氢气。F的水溶液呈蓝色,则F是可溶性铜盐。J俗称苛性钠,则J是氢氧化钠。B、C能反应,A、B、C是单质,则B可以是氧气。A和F能反应,A和B能反应,则A可以是铁。B能生成G,G能生成铜盐,则G是氧化铜,C能生成H,G和H能反应,则H为盐酸。E能生成D,D能生成氢气,E和氢氧化钠能反应,则E为二氧化碳、D为水。D能生成I,I能和盐酸反应,则I为氢氧化钙。K能生成可溶性铜盐,能和氧化铜反应,能生成氯化氢,能与氢氧化钙、氢氧化钠反应,则K为硫酸,F为硫酸铜。经过验证,推导正确。
11. 新趋势
综合探究(11 分)为探究酸、碱、盐的性质,某兴趣小组的同学做了如下实验。



(1)探究氢氧化钙和稀硫酸反应后的溶液中溶质成分:向反应后的溶液中逐滴滴加 Na₂CO₃溶液,溶液 pH 的变化如图 1 所示,b 点溶液中溶质的化学式为
Na₂SO₄、CaSO₄、H₂SO₄
;c~d 段观察到的现象是
产生白色沉淀
。
(2)测定部分变质氢氧化钠的质量分数:称取 15g 固体样品,加入 50g 稀盐酸中,恰好完全反应,反应后溶液的质量为 62.8g。计算该样品中氢氧化钠的质量分数(写出计算过程,结果精确到 0.1%)。
(3)不同溶液混合后物质的推断:进行图 2 所示的实验。实验结束后,把试管②中静置后的上层清液和试管①的溶液倒入同一洁净的烧杯中,充分混合后,无明显现象,得到无色溶液,如图 3 所示。试管②中发生反应的化学方程式为
BaCl₂ + Na₂CO₃ = BaCO₃↓ + 2NaCl
。
(4)往混合后的溶液中滴加酚酞溶液,溶液变红,则混合后所得溶液中溶质的组成可能是
NaOH、Na₂SO₄、NaCl或NaOH、Na₂SO₄、NaCl、Na₂CO₃或Na₂SO₄、NaCl、Na₂CO₃
(填化学式)。
答案:11. (1) Na₂SO₄、CaSO₄、H₂SO₄ 产生白色沉淀
(2)解:氢氧化钠部分变质是因为氢氧化钠和空气中的二氧化碳反应生成碳酸钠和水。由题意可知,生成CO₂的质量为15 g + 50 g - 62.8 g = 2.2 g,设样品中碳酸钠的质量为x。
Na₂CO₃ + 2HCl = 2NaCl + H₂O + CO₂↑
106 44
x 2.2 g
$\frac{106}{44}=\frac{x}{2.2g}$ $x = 5.3$ g
则该样品中氢氧化钠的质量分数为$\frac{15g - 5.3g}{15g}×100\%≈64.7\%$
答:样品中氢氧化钠的质量分数为64.7%。
(3) BaCl₂ + Na₂CO₃ = BaCO₃↓ + 2NaCl
(4) NaOH、Na₂SO₄、NaCl或NaOH、Na₂SO₄、NaCl、Na₂CO₃或Na₂SO₄、NaCl、Na₂CO₃
解析:(4)把试管②中静置后的上层清液和试管①的溶液倒入同一洁净的烧杯中,充分混合后,无明显现象,得到无色溶液,说明试管②中氯化钡完全反应。往混合后的溶液中滴加酚酞溶液,溶液变红,说明溶液呈碱性,则此时存在的溶质中可能有氢氧化钠、碳酸钠中的一种或两种。试管①中一定存在硫酸钠,试管②中一定存在氯化钠,因此溶液中溶质可能的组合为NaOH、Na₂SO₄、NaCl或NaOH、Na₂SO₄、NaCl、Na₂CO₃或Na₂SO₄、NaCl、Na₂CO₃。