7. 甲、乙、丙、丁是初中化学常见的物质,在一定条件下的转化关系如图所示。下列推断不正确的是(
D
)

A.甲、乙、丙、丁可能含有同一种元素
B.甲、乙和丙、丁的类别可能对应相同
C.若甲、丁为单质,乙、丙为化合物,则该反应一定是置换反应
D.若丙为 Cu(NO₃)₂,则甲只能为单质
答案:7. D 解析:甲、乙、丙、丁可能含有同一种元素,如 2NaOH + H₂SO₄ = Na₂SO₄ + 2H₂O,它们都含有氧元素,故 A 正确;甲、乙和丙、丁的类别可能对应相同,如 Fe + CuSO₄ = Cu + FeSO₄,铁和铜属于单质,硫酸铜和硫酸亚铁属于盐,故 B 正确;置换反应是由一种单质和一种化合物反应生成另一种单质和另一种化合物的反应,若甲、丁为单质,乙、丙为化合物,则该反应一定是置换反应,故 C 正确;若丙为 Cu(NO₃)₂,甲不一定为单质,如 Cu(OH)₂ + 2HNO₃ = Cu(NO₃)₂ + 2H₂O,该反应中没有单质,故 D 错误。
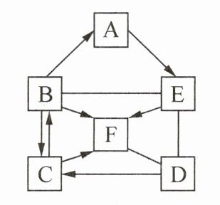
8. (2024·四川广元)A~F 是初中化学常见的物质,它们之间的转化关系如图所示(图中每个反应都是一步实现,其中“—”表示两种物质间能发生化学反应,“→”表示两种物质间的转化关系,反应条件、部分物质已略去)。已知 A 是年产量最高的金属,F 是紫红色金属,C、D 用于配制农药波尔多液,B、C、D、E、F 是五种不同类别的物质。请回答下列问题。

(1) A 和 D 反应的基本反应类型是
置换反应
。
(2) 写出 B 物质的一种用途:
金属除锈(答案合理即可)
。
(3) C 的俗称为
熟石灰(或消石灰)
。
(4) 若 E→F 发生的化学反应不属于基本反应类型,写出该反应的化学方程式:
CuO + CO $\xlongequal{△}$ Cu + CO₂
。
答案:8. (1) 置换反应 (2) 金属除锈(答案合理即可)
(3) 熟石灰(或消石灰) (4) CuO + CO $\xlongequal{△}$ Cu + CO₂
解析:A~F 是初中化学常见的物质,B、C、D、E、F 是五种不同类别的物质。A 是年产量最高的金属,则 A 是铁。F 是紫红色金属,则 F 是铜(单质)。C、D 用于配制农药波尔多液,D 能转化成铜,则 D 是硫酸铜(盐),C 是氢氧化钙(碱)。E 能转化成铜和硫酸铜,则 E 是氧化铜(氧化物)。B 能与铁、氢氧化钙反应,能转化成硫酸铜,则 B 是硫酸(酸)。经过验证,推导正确。
9. (2025·天津月考)A、B、C、D、E、F 是初中化学常见的六种物质,如图是这些物质间的相互反应及转化关系。其中 A、C 均为氧化物,B 俗称纯碱,F 是大理石的主要成分。图中“—”表示两端的物质能发生反应,“→”表示一种物质可转化为另一种物质(部分反应物、生成物及反应条件已略去)。请回答下列问题。

(1) 写出 C 的一种用途:
灭火(答案合理即可)
;D 与 E 的反应属于基本反应类型中的
复分解
反应。
(2) 写出 B 与 E 反应的化学方程式:
Na₂CO₃ + Ca(OH)₂ = CaCO₃↓ + 2NaOH
。
(3) 写出 C→B 反应的化学方程式:
CO₂ + 2NaOH = Na₂CO₃ + H₂O
。
(4) 写出 E 与 D 反应的化学方程式:
2HCl + Ca(OH)₂ = CaCl₂ + 2H₂O(答案合理即可)
。
(5) 写出 B→A 反应的化学方程式:
Na₂CO₃ + 2HCl = 2NaCl + H₂O + CO₂↑(答案合理即可)
。
答案:9. (1) 灭火(答案合理即可) 复分解
(2) Na₂CO₃ + Ca(OH)₂ = CaCO₃↓ + 2NaOH
(3) CO₂ + 2NaOH = Na₂CO₃ + H₂O
(4) 2HCl + Ca(OH)₂ = CaCl₂ + 2H₂O(答案合理即可) (5) Na₂CO₃ + 2HCl = 2NaCl + H₂O + CO₂↑(答案合理即可)
解析:A、B、C、D、E、F 是初中化学常见的六种物质;A、C 均为氧化物,B 俗称纯碱,F 是大理石的主要成分,则 B 是碳酸钠,F 是碳酸钙。C 能够与碳酸钠相互转化,且能转化为碳酸钙,则 C 是二氧化碳。D 能与碳酸钙反应且能生成二氧化碳,则 D 是酸,可以是盐酸。E 能转化为碳酸钙,能与碳酸钠、酸反应,则 E 为氢氧化钙。碳酸钠能转化为 A,A 能转化为氢氧化钙,且为氧化物,则 A 为水。经过验证,推导正确。
10. 现有一包固体粉末,可能含有 NaOH、Na₂SO₄、NaCl、Ba(NO₃)₂、FeCl₃、MgCl₂ 中的一种或几种。现做如下实验。
(1) 取少量固体溶于水,过滤得到白色沉淀 A 和无色滤液 B,则原固体中一定不含
FeCl₃
(填化学式,下同)。
(2) 取白色沉淀 A,滴加过量稀盐酸,固体全部溶解,则原固体中一定含有
NaOH 和 MgCl₂
。
(3) 取适量滤液 B,通入 CO₂,无明显现象;继续滴加 2 滴酚酞溶液,溶液变红,则原固体中一定不含
Ba(NO₃)₂
。
(4) 另取无色滤液 B,先加入足量 Ba(NO₃)₂ 溶液和稀硝酸,无明显现象,则原固体中一定不含
Na₂SO₄
。再加入 AgNO₃ 溶液,产生白色沉淀,则原固体中
可能
(填“一定”“可能”或“一定不”)含 NaCl。
答案:10. (1) FeCl₃ (2) NaOH 和 MgCl₂ (3) Ba(NO₃)₂
(4) Na₂SO₄ 可能
解析:(1) 取少量固体溶于水,过滤得到白色沉淀 A 和无色滤液 B,氯化铁溶液呈黄色,所以原固体中一定不含氯化铁。(2) 取白色沉淀 A,滴加过量稀盐酸,固体全部溶解,说明白色沉淀 A 为氢氧化镁,则原固体中一定含有氢氧化钠和氯化镁。(3) 取适量滤液 B,通入二氧化碳,无明显现象;继续滴加 2 滴酚酞溶液,溶液变红,则原固体中一定不含硝酸钡(因为二氧化碳能与氢氧化钠溶液反应生成碳酸钠,碳酸钠溶液能与硝酸钡溶液反应生成碳酸钡白色沉淀)。(4) 另取无色滤液 B,先加入足量硝酸钡溶液和稀硝酸,无明显现象,说明原固体中一定不含硫酸钠(因为硝酸钡溶液能与硫酸钠反应生成硫酸钡白色沉淀和硝酸钠)。由(2)的分析可知,原固体中一定含有氯化镁,再加入硝酸银溶液,产生白色沉淀,与银离子反应的氯离子可能来自氯化镁,所以无法判断原固体中是否含有氯化钠。