1. 如图所示,小红静止站在商场的电梯上,随电梯匀速向上运动,她受到的力有(
A
)

A.重力和支持力
B.重力、支持力和水平向右的摩擦力
C.重力、支持力和水平向左的摩擦力
D.重力、支持力和斜向上的摩擦力
答案:1. A
2. 如图所示,斜劈A放在固定的斜面上,其上表面水平,物体B放在A上,在A和B一起沿斜面匀速下滑的过程中(
B
)

A.A对B无支持力
B.A、B之间无摩擦力
C.A对B的摩擦力方向水平向左
D.A对B的摩擦力方向沿斜面向上
答案:2. B
解析:
解:物体B放在A上,A和B一起沿斜面匀速下滑。
对B进行受力分析:B受竖直向下的重力、A对B竖直向上的支持力。
因B匀速运动,合力为0,水平方向若有摩擦力则无法平衡,故A、B之间无摩擦力。
答案:B
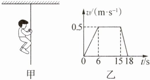
3. 如图甲所示是消防队员小明进行爬杆训练的示意图,在某次爬杆训练中,小明沿杆竖直向上运动的速度v随时间t的变化关系如图乙所示。下列判断正确的是(
C
)

A.在0~6 s内,小明受到的重力比摩擦力大
B.在15~18 s内,小明受到的摩擦力方向竖直向下
C.在6~15 s内,小明受到的重力与摩擦力大小相等
D.在0~18 s内,小明受到的摩擦力大小保持不变
答案:3. C 解析:由图乙可知,在0~6 s内,小明的速度不断增大,合力方向竖直向上,故小明受到的摩擦力比重力大,故A错误;在15~18 s内,小明的速度不断减小,小明受到的重力方向竖直向下,则受到的摩擦力方向竖直向上,故B错误;在6~15 s内,小明匀速向上运动,根据二力平衡的条件,小明受到的重力与摩擦力大小相等,故C正确;在0~18 s内,小明在竖直方向上仅受到重力和摩擦力的作用,重力大小保持不变,小明的运动状态发生了变化,合力的大小发生变化,则小明受到的摩擦力大小发生变化,故D错误.
4. (2025·广东茂名月考)如图所示,一根木杆竖直悬挂在细绳下端,一只质量为10 kg的猴子抱住木杆,静止在杆上,手用更大的力握紧木杆后,猴子与杆之间的摩擦力大小
不变
(选填“增大”“减小”或“不变”)。当猴子匀速向上爬杆时,猴子受到摩擦力的方向是
竖直向上
。当猴子爬到顶端,匀速下滑时受到杆对它的摩擦力大小是
100
N。(g取10 N/kg)

答案:4. 不变 竖直向上 100
5. 将一袋大米静止放在水平向右匀速运动的传送带上:(均选填“受到向左的”“受到向右的”或“没有受到”)

(1)米袋先在传送带上滑动了一段距离,此时,米袋
受到向右的
摩擦力。
(2)稍后,米袋与传送带一起匀速向右运动,此时,米袋
没有受到
摩擦力。
(3)当传送带突然停下时,米袋
受到向左的
摩擦力。
答案:5. (1)受到向右的 (2)没有受到 (3)受到向左的
6. 当行李随传送带一起匀速运动时:

(1)甲传送带上的行李,所受的摩擦力
等于
(选填“等于”或“不等于”)零。
(2)乙传送带上的行李,所受的摩擦力
不等于
(选填“等于”或“不等于”)零,方向沿传送带
向上
。
(3)若乙传送带上的行李沿传送带向下做匀速运动,则所受的摩擦力沿传送带
向上
。
答案:6. (1)等于 (2)不等于 向上 (3)向上