典例 1 已知抛物线 $y = 2x^{2}+3$ 上有两点 $A(x_{1},y_{1})$,$B(x_{2},y_{2})$,且 $x_{1}\neq x_{2}$,$y_{1}=y_{2}$,则当 $x = x_{1}+x_{2}$ 时,$y=$
.
答案:因为抛物线$y = 2x^{2}+3$的对称轴为$y$轴(即$x=0$),且$A(x_{1},y_{1})$,$B(x_{2},y_{2})$在抛物线上,$y_{1}=y_{2}$,$x_{1}\neq x_{2}$,所以点$A$与点$B$关于对称轴对称。
所以$x_{1}=-x_{2}$,即$x_{1}+x_{2}=0$。
当$x = x_{1}+x_{2}=0$时,$y=2×0^{2}+3=3$。
3
【变式 1】抛物线 $y = x^{2}-2$ 在 $x$ 轴上截得的线段长度为
$2\sqrt{2}$
.
答案:【变式1】$2\sqrt{2}$
解析:
令$y=0$,则$x^{2}-2=0$,解得$x_{1}=\sqrt{2}$,$x_{2}=-\sqrt{2}$,线段长度为$|x_{1}-x_{2}|=|\sqrt{2}-(-\sqrt{2})|=2\sqrt{2}$。
典例 2 (2025·江苏镇江模拟)已知抛物线 $y=\frac{2}{3}(x - 1)^{2}$ 经过 $(-2,y_{1})$,$(0,y_{2})$,$(\frac{5}{2},y_{3})$ 三点,则 $y_{1}$,$y_{2}$,$y_{3}$ 之间的大小关系为(
)
A.$y_{1}>y_{2}>y_{3}$
B.$y_{2}>y_{3}>y_{1}$
C.$y_{3}>y_{1}>y_{2}$
D.$y_{1}>y_{3}>y_{2}$
答案:【思路分析】设点 $(-2,y_{1})$,$(0,y_{2})$,$(\frac{5}{2},y_{3})$ 到抛物线 $y=\frac{2}{3}(x - 1)^{2}$ 的对称轴直线 $x = 1$ 的距离分别为 $h_{1}$,$h_{2}$,$h_{3}$,则 $h_{1}=3$,$h_{2}=1$,$h_{3}=\frac{3}{2}$,所以 $h_{1}>h_{3}>h_{2}$.因为 $\frac{2}{3}>0$,所以 $y_{1}$,$y_{2}$,$y_{3}$ 之间的大小关系为 $y_{1}>y_{3}>y_{2}$.
【答案】$D$
【变式 2】已知点 $(-h-\frac{1}{2},y_{1})$,$(-h + 1,y_{2})$,$(0,y_{3})$,$(h-\frac{1}{3},y_{4})$,$(h + 3,y_{5})$ 都在函数 $y = a(|x|-h)^{2}$ 的图像上,且 $a<0$,$1<h<2$,则 $y_{1}$,$y_{2}$,$y_{3}$,$y_{4}$,$y_{5}$ 之间的大小关系为(
C
)
A.$y_{1}>y_{2}>y_{3}>y_{4}>y_{5}$
B.$y_{2}>y_{1}>y_{5}>y_{3}>y_{4}$
C.$y_{4}>y_{1}>y_{2}>y_{3}>y_{5}$
D.$y_{1}>y_{4}>y_{2}>y_{3}>y_{5}$
答案:【变式2】C
解析:
函数$y = a(|x| - h)^2$,$a < 0$,图像开口向下,对称轴为$|x| = h$,即$x = h$和$x = -h$。
各点到对称轴的距离:
点$(-h - \frac{1}{2}, y_1)$:$|-h - \frac{1}{2} - (-h)| = \frac{1}{2}$
点$(-h + 1, y_2)$:$|-h + 1 - (-h)| = 1$
点$(0, y_3)$:$|0 - h| = h$($1 < h < 2$)
点$(h - \frac{1}{3}, y_4)$:$|h - \frac{1}{3} - h| = \frac{1}{3}$
点$(h + 3, y_5)$:$|h + 3 - h| = 3$
距离大小关系:$\frac{1}{3} < \frac{1}{2} < 1 < h < 3$。
因为$a < 0$,距离对称轴越近,函数值越大,所以$y_4 > y_1 > y_2 > y_3 > y_5$。
C
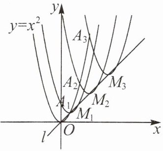
典例 3 新素养
几何直观 如图,抛物线 $y = x^{2}$ 在第一象限内经过的整数点(横坐标、纵坐标都为整数的点)依次为 $A_{1}$,$A_{2}$,$A_{3}$,$···$.将抛物线 $y = x^{2}$ 沿直线 $l:y = x$ 向上平移,得到一系列抛物线,且满足条件:① 抛物线的顶点 $M_{1}$,$M_{2}$,$M_{3}$,$···$ 都在直线 $l$ 上;② 抛物线依次经过点 $A_{1}$,$A_{2}$,$A_{3}$,$···$,则顶点 $M_{2025}$ 的坐标为
.

答案:【思路分析】由题意,得点 $A_{2025}$ 的横坐标为 $2025$.又点 $A_{2025}$ 在抛物线 $y = x^{2}$ 上,所以点 $A_{2025}$ 的坐标为 $(2025,2025^{2})$.因为抛物线的顶点 $M_{1}$,$M_{2}$,$M_{3}$,$···$ 都在直线 $l:y = x$ 上,所以可设顶点 $M_{2025}$ 的坐标为 $(m,m)$,则抛物线对应的函数表达式为 $y=(x - m)^{2}+m$.把点 $A_{2025}(2025,2025^{2})$ 代入 $y=(x - m)^{2}+m$,得 $2025^{2}=(2025 - m)^{2}+m$,解得 $m_{1}=4049$,$m_{2}=0$(不合题意,舍去),所以顶点 $M_{2025}$ 的坐标为 $(4049,4049)$.
【答案】$(4049,4049)$