· 跟踪练习2 计算:
(1)$\frac{12}{x^{2}-9}+\frac{2}{3-x}$;
(2)$\frac{x^{2}}{x+1}-x+1$。
答案:(1)
原式$=\frac{12}{(x + 3)(x - 3)}-\frac{2}{x - 3}$
$=\frac{12}{(x + 3)(x - 3)}-\frac{2(x + 3)}{(x + 3)(x - 3)}$
$=\frac{12-2(x + 3)}{(x + 3)(x - 3)}$
$=\frac{12-2x - 6}{(x + 3)(x - 3)}$
$=\frac{6 - 2x}{(x + 3)(x - 3)}$
$=\frac{-2(x - 3)}{(x + 3)(x - 3)}$
$=-\frac{2}{x + 3}$
(2)
原式$=\frac{x^{2}}{x + 1}-(x - 1)$
$=\frac{x^{2}}{x + 1}-\frac{(x - 1)(x + 1)}{x + 1}$
$=\frac{x^{2}}{x + 1}-\frac{x^{2}-1}{x + 1}$
$=\frac{x^{2}-(x^{2}-1)}{x + 1}$
$=\frac{x^{2}-x^{2}+1}{x + 1}$
$=\frac{1}{x + 1}$
1. 计算$\frac{2x}{x+1}-\frac{x-1}{x+1}$的结果是(
)。
A.$x+1$
B.$\frac{1}{x+1}$
C.$\frac{x}{x+1}$
D.1
答案:D
解析:
由于两个分式的分母相同,可以直接进行分子的加减运算,即:
$\frac{2x}{x + 1} - \frac{x - 1}{x + 1} = \frac{2x - (x - 1)}{x + 1}$
对分子进行化简:
$2x - (x - 1) = 2x - x + 1 = x + 1$
将化简后的分子代入原式:
$\frac{x + 1}{x + 1}$
由于分子和分母相同(且不为0,因为分母不能为0),所以结果为1。
2. 下列式子运算结果为$x+1$的是(
)。
A.$\frac{x^{2}+2x}{x+2}$
B.$\frac{x^{2}-2x+1}{x-1}$
C.$\frac{x^{2}-1}{x}÷\frac{x+1}{x}$
D.$\frac{x^{2}}{x-1}-\frac{1}{x-1}$
答案:D
解析:
A. $\frac{x^{2}+2x}{x+2}=\frac{x(x+2)}{x+2}=x$,结果为$x$,不符合。
B. $\frac{x^{2}-2x+1}{x-1}=\frac{(x-1)^2}{x-1}=x-1$,结果为$x-1$,不符合。
C. $\frac{x^{2}-1}{x}÷\frac{x+1}{x}=\frac{(x+1)(x-1)}{x}×\frac{x}{x+1}=x-1$,结果为$x-1$,不符合。
D. $\frac{x^{2}}{x-1}-\frac{1}{x-1}=\frac{x^{2}-1}{x-1}=\frac{(x+1)(x-1)}{x-1}=x+1$,结果为$x+1$,符合。
3. 已知$M=\frac{6}{x^{2}-9}$,$N=\frac{1}{x+3}+\frac{1}{3-x}$,则$M$,$N$的关系为(
)。
A.$M=N$
B.$MN=1$
C.$M+N=0$
D.不能确定
答案:C
解析:
首先化简 $N$:
$N = \frac{1}{x + 3} + \frac{1}{3 - x}$
$= \frac{1}{x + 3} - \frac{1}{x - 3}$ (因为$\frac{1}{3-x} = -\frac{1}{x-3}$)
$= \frac{(x - 3) - (x + 3)}{(x + 3)(x - 3)}$
$= \frac{x - 3 - x - 3}{x^2 - 9}$
$= \frac{-6}{x^2 - 9}$
$= -\frac{6}{x^2 - 9}$
已知 $M = \frac{6}{x^2 - 9}$,
比较 $M$ 和 $N$,得到:
$N = -M$,
即:
$M + N = 0$。
4. 下面是甲、乙、丙三名同学在黑板上计算$\frac{x+3}{x-2}+\frac{x-2}{4-x^{2}}$的做法。
甲同学
原式$=(x+3)(x-2)+(2-x)$
$=x^{2}+x-6+2-x$
$=x^{2}-4$。
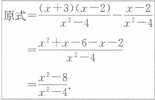
乙同学

原式$=\frac{(x+3)(x-2)}{x^{2}-4}-\frac{x-2}{x^{2}-4}$
$=\frac{x^{2}+x-6-x-2}{x^{2}-4}$
$=\frac{x^{2}-8}{x^{2}-4}$。
丙同学
原式$=\frac{x+3}{x+2}-\frac{x-2}{(x+2)(x-2)}$
$=\frac{x+3}{x+2}-\frac{1}{x+2}$
$=\frac{x+3-1}{x+2}=1$。
关于这三名同学的做法,你认为(
)。
A.甲同学的做法正确
B.乙同学的做法正确
C.丙同学的做法正确
D.三名同学的做法都错误
答案:D
解析:
甲同学直接去分母,未通分,错误;乙同学通分时第一个分式分子应为$(x+3)(x+2)$,错乘为$(x+3)(x-2)$,错误;丙同学将第一个分式分母$x-2$误写为$x+2$,错误。三名同学做法均错误。