例1(教材P32)在$□$里填合适的数字。

答案:思路分析
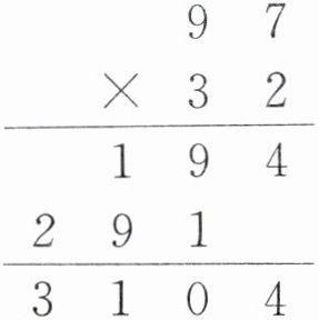
第一个竖式中,根据第一个乘数的个位与2相乘的积的个位是4,可知第一个乘数的个位是2或7,再根据第二个积的末尾是1,可知第一个乘数的末尾只能为7,且第二个乘数为32。根据两个中间积与最终积的关系,可知4的前面必为9,则第一个乘数为97,由此填写。
第二个竖式中,根据第一个乘数的个位乘5得0,乘4得8,可知第一个乘数必为$1□2$,根据$1□2×4$的积的十位是0,可知,第一个乘数为102或152,经尝试,两种情况均可填写出符合题意的竖式。
解答:第一个竖式:

第二个竖式答案不唯一,以下两种情况都可以。

归纳点拨
根据已知的数据为线索,可推理出所有$□$里的数字。在乘法竖式中的$□$里填合适的数字时要根据算式的特点,通过推理、尝试、调整等策略,逐步找到问题的答案。可以从乘得的数字入手倒推,也可以从积的位数出发进行判断。
1. 在$□$里填合适的数字。

答案:1. 318×45=14310(答案不唯一)
476×25=11900
【提示】根据已知数据和乘法算式的特点,从乘得的数字和积的位数出发填上合适的数字即可。
例2(教材P37)用0、1、2、3、4这五个数字组成一个两位数和一个三位数,要使乘积最大,应是哪两个数?要使乘积最小呢?
答案:思路分析
要使这五个数字组成的两位数和三位数的乘积最大,就要把较大的数字尽可能地放在高位上,所以两个数最高位上的数字应该分别是3和4,而左起第二位上的数字应该分别是1和2。这样两位数和三位数的前两位上的数可能是41和32,也可能是42和31,而$41×32>42×31$,所以两位数和三位数的前两位上的数分别是41和32。由于第五个数字是0,无论把0放在哪个数的个位,乘得的积都相等。符合条件的数有两组,分别是41和320或410和32。若要使相乘的积最小,则要把较小的数字尽可能地放在高位上,思考过程和上面基本相同,但由于0不能在一个数的最高位上,所以两个数的首位分别是1和2,而左起第二位上的数字应该分别是0和3。这样两位数和三位数的前两位上的数可能是10和23,也可能是13和20。而$10×23<13×20$,所以两位数和三位数的前两位上的数分别是10和23,再考虑4作为哪个数的个位,乘积最小。因为$104×23>10×234$,所以符合条件的两个数是10和234。
解答:要使乘积最大,两个数分别是41和320或410和32;要使乘积最小,两个数分别是10和234。
归纳点拨
解答此类题目需要运用尝试与调整的策略找出答案,先根据乘积最大或最小确定两个乘数最高位上的数字,再通过计算和比较,确定下一位上的数字,最后确定剩下的一个数字应该为哪一个数的个位,进而找到正确的答案。