11. 新趋势
传统文化(2025·河北石家庄模拟改编·10 分)中华传统文化典籍中包含很多化学知识。
(1)《天工开物》中“世间丝、麻、裘、褐皆具素质……”,文中“丝”的主要成分是
蛋白质
。
(2)《梦溪笔谈》中描述了一种液体化石燃料:“颇似淳漆,燃之如麻,但烟甚浓,所沾帷幕皆黑”,该化石燃料是
石油
。
(3)《外丹本草》记载炉甘石可作为外用药使用,其主要成分为碳酸锌和碱式碳酸锌,二者都有一定的抑菌活性,说明起抑菌作用的有效成分是
锌元素
(填“锌单质”或“锌元素”),儿童缺锌会导致
发育迟缓,智力低下
。
(4)《吕氏春秋》中“金(铜)柔锡柔,合两柔则为刚”,说明合金的硬度比纯金属的
大
(填“大”或“小”)。
答案:11. (1) 蛋白质 (2) 石油 (3) 锌元素 发育迟缓,智力低下 (4) 大
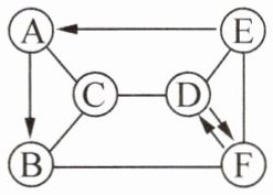
12. (2025·山东滨州模拟改编·10 分)A~F 是初中化学中常见物质,它们的转化关系如图所示,A 是最常见的溶剂,A 与生石灰发生反应生成 B 时放出热量。C、D、E、F 是四种不同类别的化合物,B 与 D 是同一类物质,F 是制玻璃的原料,俗称“苏打”(图中“—”表示相连的两种物质能反应,“→”表示通过一步反应能实现转化)。回答下列问题。

(1)C 的化学式为
CO₂(答案合理即可)
,E 的物质类别是
酸
(填“酸”“碱”“盐”或“氧化物”)。
(2)C 与 D 发生反应的化学方程式为
CO₂+2NaOH=Na₂CO₃+H₂O(答案合理即可)
。
(3)B 在生活中的用途有
改良酸性土壤(答案合理即可)
(写出一点即可)。为鉴别含 B、D 溶质的两种稀溶液,可选取的物质是
CE
(填字母)。
A. 酚酞溶液
B. 硝酸铜溶液
C. 二氧化碳
D. 稀盐酸
E. 碳酸钠
答案:12. (1) CO₂(答案合理即可)酸 (2) CO₂+2NaOH=Na₂CO₃+H₂O(答案合理即可) (3) 改良酸性土壤(答案合理即可) CE
解析:A~F 是初中化学中常见物质。A 是最常见的溶剂,则 A 可以是水。A 与生石灰发生反应生成 B 时放出热量,则 B 是氢氧化钙。C、D、E、F 是四种不同类别的化合物,F 是制玻璃的原料,俗称“苏打”,则 F 是碳酸钠。B 与 D 是同一类物质,则 D 是碱,D 能与 F 相互转化,则 D 是氢氧化钠。E 能与氢氧化钠反应,又能与碳酸钠反应,且能转化为水,则 E 应为酸,可以是盐酸或硫酸等。C 能与水、氢氧化钠、氢氧化钙反应,则 C 可以是二氧化碳或二氧化硫等。经过验证,推导正确。
13. (2025·天津模拟改编·10 分)某固体混合物中可能含有氢氧化钾、硫酸钾、硝酸镁、硝酸铜、碳酸钙、硝酸钾中的一种或几种物质。为了确定该样品的成分,取 $7.0g$ 样品进行如下实验(各步均恰好完全反应)。根据流程图回答问题。

(1)硝酸钾在农业上可用作
复合
(填“氮”“磷”“钾”或“复合”)肥。根据步骤 1 的现象可知,样品中一定不含
硝酸铜
。
(2)白色沉淀 a 中含有的物质是
碳酸钙、氢氧化镁
。
(3)写出步骤 3 中生成沉淀的化学方程式:
BaCl₂+K₂SO₄=BaSO₄↓+2KCl
。
(4)根据上述实验推断该混合物含有
5
(填数字)种物质。
答案:13. (1) 复合 硝酸铜 (2) 碳酸钙、氢氧化镁 (3) BaCl₂+K₂SO₄=BaSO₄↓+2KCl (4) 5
解析:取 7.0 g 样品进行实验(各步均恰好完全反应),向样品中加入足量水,得到 1.08 g 白色沉淀 a 和无色滤液 b,硝酸铜溶液呈蓝色,氢氧化铜是蓝色沉淀,则原固体中一定不含硝酸铜;向白色沉淀 a 中加入适量稀盐酸,得到 0.22 g 气体和无色溶液。碳酸钙和盐酸反应生成氯化钙、水和二氧化碳,反应的化学方程式及其质量关系如下:
CaCO₃+2HCl=CaCl₂+H₂O+CO₂↑
100 44
0.5 g 0.22 g
则 1.08 g 白色沉淀中含有 0.5 g 碳酸钙,由于氢氧化钾和硝酸镁反应生成氢氧化镁白色沉淀和硝酸钾,则氢氧化镁的质量为 1.08 g-0.5 g=0.58 g;氢氧化钾和硝酸镁反应的化学方程式及其质量关系如下:
2KOH+Mg(NO₃)₂=Mg(OH)₂↓+2KNO₃
112 148 58
1.12 g 1.48 g 0.58 g
即 1.12 g 氢氧化钾和 1.48 g 硝酸镁恰好完全反应生成 0.58 g 氢氧化镁沉淀,说明原固体中一定含有碳酸钙、氢氧化钾、硝酸镁。向无色滤液 b 中加入适量氯化钡溶液,得到 4.66 g 白色沉淀 c,氯化钡和硫酸钾反应生成硫酸钡沉淀和氯化钾,反应的化学方程式及其质量关系如下:
BaCl₂+K₂SO₄=BaSO₄↓+2KCl
174 233
3.48 g 4.66 g
则 3.48 g 硫酸钾和氯化钡完全反应生成 4.66 g 硫酸钡沉淀,说明原固体中一定含有硫酸钾。由于 0.5 g+1.12 g+1.48 g+3.48 g=6.58 g<7.0 g,所以原固体中一定含有硝酸钾,则固体混合物由五种物质组成。