18. (14分)(2025·山东威海)西瓜霜是一味中药,古籍记载其功效有"治咽喉口齿、喉痹久咳"等。小林在老师的指导下完成了"自制西瓜霜"的实践活动。
Ⅰ. 探究原料。西瓜霜的制作原料是新鲜西瓜和一种"盐"。
(1) 关于该"盐",《本草纲目》中写道"该物见水即消…,生于盐卤之地"。由此推测该"盐"具有的性质是
易溶于水
。
(2) 经检验该"盐"是一种钠盐,常见的钠盐有氯化钠、碳酸钠、硫酸钠、硝酸钠。小林通过实验确定了该"盐"是硫酸钠,他的实验方法及观察到的实验现象是
取少量该“盐”于试管中,加水溶解,向其中滴加硝酸钡溶液和足量的稀硝酸,产生白色沉淀,且沉淀不溶解
,实验过程中发生反应的化学方程式为
Na₂SO₄ + Ba(NO₃)₂=BaSO₄↓+2NaNO₃
。
Ⅱ. 制备原料。古人利用天然盐卤水,采用"滩田法"制取芒硝(主要成分硫酸钠晶体),制取流程如图1所示。

(3) 根据图2分析,从浓缩盐卤水中获取粗芒硝的方法是
降温结晶
,依据是
氯化钠的溶解度受温度变化的影响较小,硫酸钠的溶解度受温度变化的影响较大,在40℃以下,硫酸钠的溶解度随温度的降低而减小
。
(4) 实验室可用中和反应制备硫酸钠,其反应原理是
H₂SO₄+2NaOH=Na₂SO₄+2H₂O
(用化学方程式表示)。
Ⅲ. 制作西瓜霜。
(5) 制作西瓜霜的方法是:① 西瓜洗净切片;② 一层西瓜片,一层硫酸钠粉末交替放入没有釉质的瓦罐中;③ 盖上盖子,放在干燥通风处2~3周,瓦罐外产生大量白霜(西瓜霜)。瓦罐放在干燥通风处有利于白霜形成的原因是
干燥通风有利于水分蒸发
。
答案:18. (1) 易溶于水 (2) 取少量该“盐”于试管中,加水溶解,向其中滴加硝酸钡溶液和足量的稀硝酸,产生白色沉淀,且沉淀不溶解 Na₂SO₄ + Ba(NO₃)₂=BaSO₄↓+2NaNO₃ (3) 降温结晶 氯化钠的溶解度受温度变化的影响较小,硫酸钠的溶解度受温度变化的影响较大,在40℃以下,硫酸钠的溶解度随温度的降低而减小 (4) H₂SO₄+2NaOH=Na₂SO₄+2H₂O (5) 干燥通风有利于水分蒸发
解析:(4)实验室可用中和反应制备硫酸钠,其反应原理是硫酸和氢氧化钠反应生成硫酸钠和水,反应的化学方程式为H₂SO₄+2NaOH=Na₂SO₄+2H₂O。(5)瓦罐放在干燥通风处有利于白霜形成的原因是干燥通风处,有利于水分蒸发。
19. 新趋势
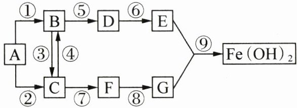
推导探究(5分)(2025·四川德阳)你熟悉的七种物质A、B、C、D、E、F、G有如图所示的转化关系(部分反应物、生成物及反应条件未标出)。其中A能供给生物呼吸,B随呼吸进入人体血液后会与血红蛋白结合导致血液失去输送氧气的能力,B和C均为氧化物且组成元素相同,F俗称纯碱或苏打,反应⑤为工业炼铁的化学反应原理。已知含Fe²⁺的盐溶液与碱溶液混合能生成白色沉淀Fe(OH)₂。回答下列问题。
(1) 物质B的化学式为
CO
。

(2) 反应⑥发生的过程中观察到的现象为
产生气泡,固体减少或消失,溶液变为浅绿色
。
(3) 反应⑧的化学方程式为
Na₂CO₃+Ca(OH)₂=CaCO₃↓+2NaOH(答案合理即可)
。
(4) 反应①~⑤中,可以通过"化合反应"实现转化的有
①②③④
(填序号)。
答案:19. (1) CO (2) 产生气泡,固体减少或消失,溶液变为浅绿色 (3) Na₂CO₃+Ca(OH)₂=CaCO₃↓+2NaOH(答案合理即可) (4) ①②③④
解析:A能供给生物呼吸,则A是氧气;B随呼吸进入人体血液后会与血红蛋白结合导致血液失去输送氧气的能力,则B是一氧化碳;B和C均为氧化物且组成元素相同,则C是二氧化碳;F俗称纯碱或苏打,则F是碳酸钠;反应⑤为工业炼铁的化学反应原理,则反应⑤是$Fe₂O₃+3CO\xlongequal{高温}2Fe+3CO₂;$已知含Fe²⁺的盐溶液与碱溶液混合能生成白色沉淀Fe(OH)₂,则E中含有Fe²⁺,G是一种碱,则D是铁,E可能是氯化亚铁或硫酸亚铁等;F(碳酸钠)能转化为G(一种碱),则G是氢氧化钠。经过验证,推导正确。(4)化合反应是由两种或两种以上物质反应生成另一种物质的反应。反应①是A(氧气)→B(一氧化碳),可以是$2C+O₂\xlongequal{点燃}2CO,$属于化合反应;反应②是A(氧气)→C(二氧化碳),可以是$C+O₂\xlongequal{点燃}CO₂,$属于化合反应;反应③是B(一氧化碳)→C(二氧化碳),可以是$2CO+O₂\xlongequal{点燃}2CO₂,$属于化合反应;反应④是C(二氧化碳)→B(一氧化碳),可以是$C+CO₂\xlongequal{高温}2CO,$属于化合反应;反应⑤是B(一氧化碳)→D(铁),可以是$Fe₂O₃+3CO\xlongequal{高温}2Fe+3CO₂,$或$Fe₃O₄+4CO\xlongequal{高温}3Fe+4CO₂$等,不属于化合反应;因此反应①~⑤中,可以通过化合反应实现转化的有①②③④。