18. (8分)图1是关于氢氧化钠化学性质的思维导图,请回答下列问题。


(1)性质①,将无色酚酞溶液滴入氢氧化钠溶液中,溶液呈
红
色。
(2)性质②,将氢氧化钠溶液滴入稀盐酸中,溶液的温度将
升高
(填“升高”或“降低”)。图2表示该反应过程中溶液pH的变化曲线,n点溶液中的溶质是
NaCl、NaOH
(填化学式)。
(3)依据性质③,除去硫酸厂在生产过程中产生的二氧化硫气体,该反应的化学方程式为
2NaOH+SO₂=Na₂SO₃+H₂O
。
(4)性质④,若盐为硫酸铜溶液,向其中不断地加入氢氧化钠溶液,可观察到的现象是
有蓝色沉淀生成,溶液由蓝色逐渐变为无色
,该反应的化学方程式为
CuSO₄+2NaOH=Cu(OH)₂↓+Na₂SO₄
。
答案:18. (1) 红 (2) 升高 NaCl、NaOH (3) 2NaOH+SO₂=Na₂SO₃+H₂O (4) 有蓝色沉淀生成,溶液由蓝色逐渐变为无色 CuSO₄+2NaOH=Cu(OH)₂↓+Na₂SO₄
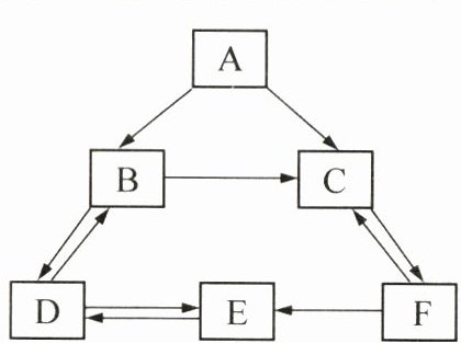
19. (5分)A~F为初中化学中常见的六种物质。其中E是一种碱,它广泛应用于制取肥皂,以及石油、造纸、纺织和印染等工业;固态B叫做“干冰”。它们之间的转化是初中常见的化学反应,转化关系如图所示(“→”表示一种物质可以转化为另一种物质,反应条件、部分反应物和生成物已略去)。请回答下列问题。

(1)E的化学式:
NaOH
。
(2)C→F的反应过程中
放出
(填“吸收”或“放出”)热量。
(3)写出F→E的化学方程式:
Na₂CO₃+Ca(OH)₂=CaCO₃↓+2NaOH
。
(4)A不可能的物质类别是
碱
(填“单质”“氧化物”“酸”“碱”或“盐”)。
答案:19. (1) NaOH (2) 放出 (3) Na₂CO₃+Ca(OH)₂=CaCO₃↓+2NaOH (4) 碱
解析:A~F为初中化学中常见的六种物质。E是一种碱,它广泛应用于制取肥皂,以及石油、造纸、纺织和印染等工业,则E是氢氧化钠;D和氢氧化钠可以相互转化,碳酸钠与氢氧化钙反应生成氢氧化钠和碳酸钙,氢氧化钠与二氧化碳反应生成碳酸钠和水,则D是碳酸钠;F能转化成氢氧化钠,F是氢氧化钙;C能与氢氧化钙相互转化,则C是水;固态B叫做“干冰”,则B是二氧化碳;A能转化成二氧化碳和水,则A可以是单质,比如氧气;A也可以是氧化物,比如CuO;A也可以是酸,比如碳酸;A也可以是盐,比如碳酸钙。经过验证,推导正确。
20. (7分)利用尿素工厂废气和磷肥工厂废渣(液)联合生产硫酸铵[(NH₄)₂SO₄]的工艺流程如图所示。

(1)硫酸铵属于化肥中的
氮
肥。
(2)上述流程中,可循环利用的物质是
二氧化碳(或CO₂)
。
(3)沉淀池中发生反应的化学方程式为
2NH₃+CO₂+H₂O+CaSO₄=CaCO₃+(NH₄)₂SO₄
。该步骤在较低温度下进行的原因是
防止氨气逸出使硫酸铵产量降低
。
(4)证明煅烧炉中碳酸钙是否完全分解,最简单的实验方法是
取少量样品于试管中,向其中加入过量稀盐酸,若产生气泡,则碳酸钙没有完全分解
。
(5)施肥时,为了不降低肥效,下列物质中不宜与硫酸铵混用的是
AC
(填字母)。
A. 熟石灰
B. 硝酸钾
C. 草木灰(含碳酸钾)
答案:20. (1) 氮 (2) 二氧化碳(或CO₂) (3) 2NH₃+CO₂+H₂O+CaSO₄=CaCO₃+(NH₄)₂SO₄ 防止氨气逸出使硫酸铵产量降低 (4) 取少量样品于试管中,向其中加入过量稀盐酸,若产生气泡,则碳酸钙没有完全分解 (5) AC
解析:(3)流程中氨气、二氧化碳与硫酸钙悬浊液反应生成硫酸铵和碳酸钙,该反应的化学方程式为2NH₃+CO₂+H₂O+CaSO₄=CaCO₃+(NH₄)₂SO₄,为防止氨气逸出使硫酸铵产量降低,该步骤在较低温度下进行。(4)证明煅烧炉中碳酸钙是否完全分解,最简单的实验方法是取样于试管中,向其中加入过量稀盐酸,若产生气泡,则碳酸钙没有完全分解。(5)熟石灰是碱,能与硫酸铵反应生成氨气,降低肥效,不宜与硫酸铵混用,故A符合题意;硝酸钾与硫酸铵不反应,可以与硫酸铵混用,故B不符合题意;草木灰(含碳酸钾)水溶液显碱性,与硫酸铵反应生成氨气,降低肥效,不宜与硫酸铵混用,故C符合题意。