23. (10分)(1)你发现了吗?$ ( \dfrac{2}{3} )^{2} = \dfrac{2}{3} × \dfrac{2}{3} $,$ ( \dfrac{3}{2} )^{-2} = \dfrac{1}{( \dfrac{3}{2} )^{2}} = \dfrac{1}{\dfrac{3}{2} × \dfrac{3}{2}} = \dfrac{2}{3} × \dfrac{2}{3} $,由上述计算,我们发现$ ( \dfrac{2}{3} )^{2} \_\_\_\_\_\_ ( \dfrac{3}{2} )^{-2} $.
(2)仿照(1),请你通过计算,判断$ ( \dfrac{5}{4} )^{3} $与$ ( \dfrac{4}{5} )^{-3} $之间的关系.
(3)我们可以发现:$ ( \dfrac{b}{a} )^{-m} \_\_\_\_\_\_ ( \dfrac{a}{b} )^{m} (ab ≠ 0) $.
(4)计算:①$ ( \dfrac{3}{8} )^{-4} × ( \dfrac{3}{4} )^{4} $;
②$ ( -\dfrac{1}{2} )^{-3} × 2^{-4} - 4^{-2} × (-0.25)^{-3} $.
答案:23. (1) $ = $
(2) 解: 因为 $ (\frac{5}{4})^{3} = \frac{5}{4} × \frac{5}{4} × \frac{5}{4} $, $ (\frac{4}{5})^{-3} = \frac{1}{(\frac{4}{5})^{3}} = \frac{1}{\frac{4}{5} × \frac{4}{5} × \frac{4}{5}} = \frac{5}{4} × \frac{5}{4} × \frac{5}{4} $, 所以 $ (\frac{5}{4})^{3} = (\frac{4}{5})^{-3} $.
(3) $ = $
(4) 解: ① 原式 $ = (\frac{1}{2} × \frac{3}{4})^{-4} × (\frac{3}{4})^{4} = (\frac{1}{2})^{-4} × (\frac{3}{4})^{-4} × (\frac{3}{4})^{4} = \frac{1}{(\frac{1}{2})^{4}} × (\frac{3}{4})^{-4 + 4} = 16 × 1 = 16 $.
② 原式 $ = \frac{1}{(-\frac{1}{2})^{3}} × \frac{1}{2^{4}} - \frac{1}{4^{2}} × \frac{1}{(-\frac{1}{4})^{3}} = \frac{1}{-\frac{1}{8}} × \frac{1}{16} - \frac{1}{16} × \frac{1}{-\frac{1}{64}} = -8 × \frac{1}{16} + \frac{1}{16} × 64 = -\frac{1}{2} + 4 = \frac{7}{2} $.
24. (12分)如果$ 10^{b} = n $,那么称$ b $为$ n $的劳格数,记为$ b = d(n) $,由定义可知:$ 10^{b} = n $与$ b = d(n) $所表示的是$ b $,$ n $两个量之间的同一关系.
(1)根据劳格数的定义,填空:$ d(10) = $
1
,$ d(10^{-2}) = $
$ -2 $
;
(2)劳格数有如下运算性质:
若$ m $,$ n $为正数,则$ d(mn) = d(m) + d(n) $,$ d( \dfrac{m}{n} ) = d(m) - d(n) $.
根据运算性质,填空:
$ \dfrac{d(a^{3})}{d(a)} = $
3
($ a $为正数),若$ d(2) = 0.301 $,则$ d(4) = $
0.602
,$ d(5) = $
0.699
,$ d(0.08) = $
$ -1.097 $
;
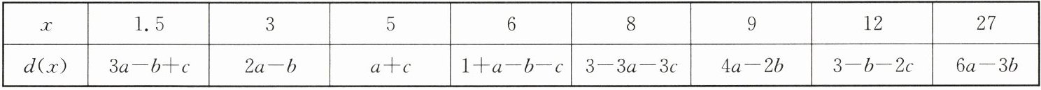
(3)下表中与数$ x $对应的劳格数$ d(x) $有且只有两个是错误的,请找出错误的劳格数,说明理由并改正.

答案:24. (1) 1 $ -2 $
(2) 3 0.602 0.699 $ -1.097 $
(3) 解: 若 $ d(3) ≠ 2a - b $, 则 $ d(9) = 2d(3) ≠ 4a - 2b $,
$ d(27) = 3d(3) ≠ 6a - 3b $,
从而表中有三个劳格数是错误的, 与题设矛盾,
所以 $ d(3) = 2a - b $.
若 $ d(5) ≠ a + c $, 则 $ d(2) = 1 - d(5) ≠ 1 - a - c $,
所以 $ d(8) = 3d(2) ≠ 3 - 3a - 3c $,
$ d(6) = d(3) + d(2) ≠ 1 + a - b - c $,
表中也有三个劳格数是错误的, 与题设矛盾,
所以 $ d(5) = a + c $.
所以表中只有 $ d(1.5) $ 和 $ d(12) $ 的值是错误的, 应纠正为
$ d(1.5) = d(3) + d(5) - 1 = 3a - b + c - 1 $,
$ d(12) = d(3) + 2d(2) = 2 - b - 2c $.