5. 用加减法解下列方程组:
(1)$\begin{cases}0.6x - 0.4y = 1.1,\\0.2x - 0.4y = 2.3;\end{cases}$
(2)$\begin{cases}x - y = 200,\\(1 + 20\%)x - (1 - 10\%)y = 780;\end{cases}$

(3)$\begin{cases}3x - 5y = 7,\\4x + 2y = 5;\end{cases}$
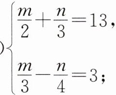
(4)$\begin{cases}\dfrac{m}{2} + \dfrac{n}{3} = 13,\\\dfrac{m}{3} - \dfrac{n}{4} = 3;\end{cases}$
(5)$\begin{cases}4(x + 2) + 5y = 1,\\2x + 3(y + 2) = 3;\end{cases}$
(6)$\begin{cases}3x + 2y = 10,\\\dfrac{x}{2} = 1 + \dfrac{y + 1}{3}.\end{cases}$
答案:5. 解: (1) 方程组整理, 得 $\{\begin{array}{l}6 x-4 y=11, ① \\ 2 x-4 y=23, ②\end{array} $
① - ②, 得 $4 x=-12$,
解得 $x=-3$.
将 $x=-3$ 代入②, 得 $-6-4 y=23$,
解得 $y=-\frac{29}{4}$.
所以原方程组的解是 $\{\begin{array}{l}x=-3, \\ y=-\frac{29}{4}\end{array} $.
(2) 方程组整理, 得 $\{\begin{array}{l}x-y=200, ① \\ 4 x-3 y=2600, ②\end{array} $
② - ①×3, 得 $x=2000$.
将 $x=2000$ 代入①, 得 $2000-y=200$, 解得 $y=1800$.
所以原方程组的解是 $\{\begin{array}{l}x=2000, \\ y=1800\end{array} $.
(3) $\{\begin{array}{l}3 x-5 y=7, ① \\ 4 x+2 y=5, ②\end{array} $
①×4 - ②×3, 得 $-26 y=13$, 解得 $y=-\frac{1}{2}$.
将 $y=-\frac{1}{2}$ 代入②, 得 $4 x-1=5$, 解得 $x=\frac{3}{2}$.
所以原方程组的解是 $\{\begin{array}{l}x=\frac{3}{2}, \\ y=-\frac{1}{2}\end{array} $.
(4) $\{\begin{array}{l}\frac{m}{2}+\frac{n}{3}=13, ① \\ \frac{m}{3}-\frac{n}{4}=3, ②\end{array} $
由①变形, 得 $3 m+2 n=78$, ③
由②变形, 得 $4 m-3 n=36$, ④
③×3 + ④×2, 得 $17 m=306$, 解得 $m=18$.
将 $m=18$ 代入④, 得 $4 × 18-3 n=36$, 解得 $n=12$.
所以原方程组的解是 $\{\begin{array}{l}m=18, \\ n=12\end{array} $.
(5) 方程组整理, 得 $\{\begin{array}{l}4 x+5 y=-7, ① \\ 2 x+3 y=-3, ②\end{array} $
②×2 - ①, 得 $y=1$.
将 $y=1$ 代入①, 得 $4 x+5=-7$,
解得 $x=-3$.
所以原方程组的解是 $\{\begin{array}{l}x=-3, \\ y=1\end{array} $.
(6) $\{\begin{array}{l}3 x+2 y=10, ① \\ \frac{x}{2}=1+\frac{y+1}{3}, ②\end{array} $
由②变形, 得 $3 x-2 y=8$, ③
① + ③, 得 $6 x=18$, 解得 $x=3$.
将 $x=3$ 代入①, 得 $9+2 y=10$, 解得 $y=\frac{1}{2}$.
所以原方程组的解是 $\{\begin{array}{l}x=3, \\ y=\frac{1}{2}\end{array} $.