18. 下图所示是四种固体物质的溶解度曲线,下表所示是这些固体物质在不同温度时的溶解度。


(1) 图中$b$曲线表示
氯化铵
(填物质名称)的溶解度曲线。
(2) 分别将$10^{\circ}C$时$KCl$和$KNO_{3}$的饱和溶液升高温度到$40^{\circ}C$(不考虑水的蒸发),所得溶液中溶质的质量分数相比,前者
大于
(填“大于”“小于”或“等于”)后者。
(3) $50^{\circ}C$时,在$50g$水中加入$20g$上表中的某种固体物质,充分搅拌后不能全部溶解,该物质是
$NaCl$
。
(4) 分别将$80^{\circ}C$时$269gKNO_{3}$饱和溶液和$138.4gNaCl$的饱和溶液降低温度到$20^{\circ}C$,理论上析出$KNO_{3}$固体的质量比析出$NaCl$固体的质量多
$135$
g。
答案:18. (1) 氯化铵 (2) 大于 (3) $NaCl$
(4) $135$
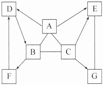
19. 如图所示是初中化学中常见化合物间的相互关系,且分别是由$H$、$C$、$O$、$Cl$、$Na$、$Ca$中的几种元素组成的。其中$D$、$E$属于氧化物;$B$、$G$是同一类别物质;胃液中含有少量的$A$,可帮助消化;$F$是常用的补钙剂的主要成分。图中“—”表示两端的物质间能发生化学反应,“→”表示物质间存在转化关系,反应条件、部分反应物和生成物已略去。

(1) 写出物质$F$的化学式:
$CaCO_{3}$
。
(2) 写出$A$和$B$之间反应的化学方程式:
$Ca(OH)_{2} + 2HCl = CaCl_{2} + 2H_{2}O$
。
(3) 写出$C→G$反应的化学方程式:
$Ca(OH)_{2} + Na_{2}CO_{3} = CaCO_{3}\downarrow +$ $2NaOH$
。
(4) 从微观角度分析$C→E$反应的本质:
氢离子和碳酸根离子结合生成二氧化碳分子和水分子
。
答案:19. (1) $CaCO_{3}$
(2) $Ca(OH)_{2} + 2HCl = CaCl_{2} + 2H_{2}O$
(3) $Ca(OH)_{2} + Na_{2}CO_{3} = CaCO_{3}\downarrow +$ $2NaOH$
(4) 氢离子和碳酸根离子结合生成二氧化碳分子和水分子